"KATECH" Horgászegyesület
Hívjon itt: +36303057954
Üdvözöljük
KATECH Horgászegyesület - Mindszent
Toggle menu
Főoldal
Hírek
Horgászrend
Rendezvények
Képgaléria
Áraink
Közzététel
Alapszabály
Éves beszámolok
Rólunk
Kapcsolat
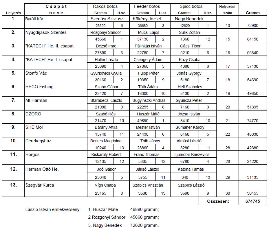
„KATECH” Kupa, László István nyílt emlékverseny 2025.09.06.
"Katech" HE
>
Rendezvények
>
„KATECH” Kupa, László István nyílt emlékverseny 2025.09.06.
Author
katechhe
Posted on
2026.03.18.
2026.03.18.
Previous
Next
A jobb felhasználói élmény érdekében az oldalon cookie-kat használunk. Oldalunk használatával, Ön elfogadja a cookie-k használatát.
Elfogadom
Süti (Cookie) szabályzatunk